欢迎访问济南新之源生物科技有限公司网站!

详情介绍

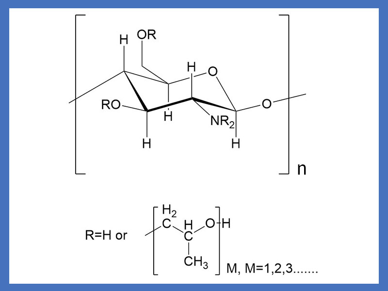
羟丙基壳聚糖基本信息

产品名称:羟丙基壳聚糖

   名:羟丙基脱乙酰壳多糖

CAS No.:104673-29-2

CDE NO.F20240000717

  式:[(C6H11NO4)(C3H6O)n1]n2  n1为摩尔取代度,n2为聚合度

 

羟丙基壳聚糖【质量标准】

检验依据

企业标准

检验项目

标准

性状

本品为类白色至浅棕色粉末

溶液的澄清度

溶液澄清

酸碱度pH

6.0~9.0

1,2-丙二醇

≤0.50%

环 氧 丙 烷 

≤0.001%

运动黏度

1.10~3.90mm²/s

干 燥 失 重

≤15.0%

炽 灼 残 渣 

≤0.5%

重 金 属

≤10ppm

 

羟丙基壳聚糖性能应用 

羟丙基壳聚糖具有良好的生物相容性、生物降解性,无毒且能增强免疫,广泛用于抗菌、创口敷料、创口愈合、药用载体、组织工程等领域。 

1.抗菌:

酸性溶液中羟丙基壳聚糖分子中的-NH-H结合形成-NH,作用于带负电的细胞壁,改变细胞的通透性,抑制或杀灭细菌 

2.创口愈合与敷料

羟丙基壳聚糖在体内降解产生 -乙酰葡萄糖胺,启动成纤维细胞增殖,协助胶原蛋白沉积,刺激伤口部位透明质酸的自然合成,加速伤口愈合。

3.吸附与载体:

羟丙基壳聚糖凭借静电作用与带负电荷的蛋白质或质粒DNA结合,良好的递药载体,纳米颗粒技术有助于递药传输。

4.应用于组织工程

羟丙基壳聚糖与明胶和硫酸软骨素交联构建出结构稳定且透明的羟丙基壳聚糖/明胶/硫酸软骨素支架,该支架具备良好的通透性,能够允许氯化钠NaCl和葡萄糖等小分子物质自由渗透其中,硫酸软骨素的添加显著增强了支架的细胞相容性,有力的促进了角膜细胞粘附增殖。

 

羟丙基壳聚糖包装贮藏

  装:符合药品包装

包装规格0.1kg/袋, 1kg/袋, 2kg/袋, 10kg/桶

   藏:遮光,密闭保存

contact us

联系我们

全国服务热线:

0531-61303628

立即咨询

CopyRight © 2024. 济南新之源生物科技有限公司 All Rights Reserved.

鲁ICP备2024113381号-1